随着中国能源结构的转型和对清洁能源需求的增长,氢能作为一种清洁、高效的能源选择,正逐渐进入公众视野。特别是在“碳达峰”和“碳中和”目标的推动下,氢能燃料电池汽车及其配套的加氢站设施成为新能源发展的重要组成部分。
氢能产业的防爆挑战
氢气作为一种IIC类爆炸性气体,在加氢站的运输、储存和加注过程中存在泄漏风险,可能形成爆炸性环境。因此,加氢站内必须使用符合严格防爆标准的电气设备,以确保安全。
危险区域的划分与设备选型
根据GB 50516标准,加氢站内的危险区域被划分为1区和2区。1区紧邻氢气储罐和管道,要求设备达到EPL Gb的保护等级。然而,市场上部分防爆电气设备仅满足EPL Gc等级,限制了其在1区的应用。

风险降低策略
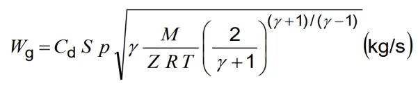
面对设备选型难题,可以通过控制释放源和改善通风条件,计算公式如下所示,将1区的风险等级降低至2区。

通过计算氢气泄漏量和现场通风条件,可以确定释放源的等级,并采取相应措施。

实施案例
以压缩机间为例,该区域通常被划分为1区。通过计算氢气在规定故障条件下的释放量,并设计合理的通风系统、配置故障备用电机、设置氢气探测器等,可以将1区的风险等级降至2区,从而允许使用EPL为Gc的防爆设备。
通过对加氢站设备进行有针对性的危险区域划分和管理,可以实现防爆电气设备在氢能产业链中的安全、经济、科学和合理应用,另外别忘记了设备入场之后,还需定期对危险区域进行防爆电气设备安全检测。这不仅有助于提升氢能产业的安全性,也是实现可持续发展的重要一步。